التراسونیک یا فراصوت
-
-
کلمه التراسونیک در واقع کوتاه شدهی موج التراسونیک است. در متن زیر می خواهیم ببینیم این امواج چه خاصیت هایی دارند و از آنها چگونه می توانیم استفاده نماییم .
به طور کلی در طبیعت امواج به دو دسته تقسیم می شوند:
- امواج مکانیکی
- امواج الکترومغناطیسی
امواج الکترومغناطیس: امواج الکترومغناطیسی امواجی هستند که برای انتشار نیاز به محیط مادی ندارند و در خلاء نیز منتشر می شوند از جملهی این امواج می توان به نور، امواج مخابراتی(رادیو، تلویزیون، تلفن همراه و …)، اشعه X، گاما، فرابنفش و مادون قرمز اشاره کرد. این دسته از امواج در دنیای امروز کاربردهای بسیار گسترده در زمینه های صنعتی، نظامی، پزشکی، خانگی و … دارد.
امواج مکانیکی: این دسته از امواج در اثر انتقال انرژی از طریق ذرات منتقل می گردد. اگر فرکانس امواج مکانیکی در بازهی 20 هرتز تا 20000 هرتز باشند در بازهی شنوایی انسان قرار می گیرند و به آن صوت گفته می شود. اگر فرکانس امواج پایین تر از 20 هرتز باشد به این امواج فروصوت و اگر بالاتر از 20کیلوهرتز باشد به آنها فراصوت یا التراسونیک گفته می شود.
تعریف بالا را در مورد التراسونیک احتمالا تاکنون شنیده باشید اما ممکن است درک و حس درستی نسبت به آن نداشته باشید. برای این که مفهوم التراسونیک را بهتر دریابید در ادامه با ما همراه باشید. برای درک بهتر باید مفهوم فرکانس را بهتر متوجه شوید.
فرکانس: تعداد نوسان، نوسانگر در یک ثانیه است. فرض کنید یک کش را بین دو میخ محکم کرده ایم، حال به وسط کش یک ضربه وارد میکنیم، ابتدا حرکت نوسانی کش بسیار سریع است و ممکن است با چشم دیده نشود یا به عبارتی کش در هر ثانیه نوسانات زیادی را انجام میدهد که یعنی فرکانس آن بالاست. با گذشت زمان سرعت جابهجایی کش کم می شود و در واقع در هر ثانیه تعداد نوسان کمتری خواهیم داشت، به عبارت دیگر فرکانس آن کم شده است. در زبان فارسی، صوت با فرکانس های بالا با صدای “زیر” و فرکانس های پایین با صدای “بم” نام برده میشود.
در سیستمهای صوتی خانگی و مورد استفاده در خودروها معمولا از دو یا سه نوع بلندگو استفاده میگردد. هر یک از این نوع بلندگوها در یک بازه عملکرد مناسبی دارند و به منظور افزایش کیفیت صوتی از دو یا سه نوع از این بلندگوها در کنار هم استفاده می شود.
توییتر(twitter): بلندگو هایی برای فرکانسهای بالاتر(زیر) در محدودهی شنوایی انسان
میدرنج(mid-range): بلندگوهایی برای فرکانسهای میانی
ساب ووفر(sub-woofer): بلندگوهایی برای فرکانس های پایین(بم) در محدودهی شنوایی انسان
موجودات زندهی دیگر بازه شنوایی متفاوتی از انسان دارند به طور مثال سگ امواج با فرکانسهای بالاتر از 20 کیلوهرتز را میشنود.
مثال هایی از بازه فرکانسی صداهای که می شنویم. کاربردهای التراسونیک
امروزه از امواج التراسونیک در زمینههای گوناگون نظامی، صنعتی، پزشکی، کشاورزی، زیست شناسی، مهندسی و علمی استفاده میشود. امواج التراسونیک در بازههای فرکانسی مختلف کاربردهای گوناگونی پیدا می کنند. همان طور که در بالا گفته شد امواج صوتی با فرکانس بیشتر از 20 کیلوهرتز را امواج التراسونیک می نامیم و در مورد حد بالای آن بجثی مطرح نشد؛ در ادامه خواهید دید که امواج التراسونیک حتی در بازههای فرکانسی تراهرتز نیز مورد استفاده قرار میگیرند. نکتهی دیگری که باید به آن اشاره کرد محیط انتشار امواج است. امواج التراسونیک به محیط مادی برای انتشار نیاز دارند اما این ماده می تواند، هوا، گاز مشخص، آب یا مایعات دیگر، پلیمرها و حتی فلزات باشد. تنوع شرایط یعنی تنوع در فرکانس کاری و محیط انتشار باعث کاربردها مختلف و گستردهی التراسونیک می گردد. در نمودار زیر بخشی از این کاربردها را می بینید:
کاربردهای التراسونیک در بازه های فرکانسی متفاوت اگر به نمودار توجه نمایید، خواهید دید که از امواج التراسونیک در فرکانس حدود 20 کیلوهرتز به منظور جوش التراسونیک استفاده می گردد. بازهی فرکانسی 20 تا 40 کیلوهرتز برای شستشوی التراسونیک مورد توجه قرار گرفته. در فرکانس های بالاتر و در حدود 2 تا 5 مگاهرتز در اهداف تشخیصی همچون تصویربرداری پزشکی(سونوگرافی) وNDT(تست غیرمخرب) استفاده می شود. همچنین در فرکانسهای 5 گیگاهرتز تا 1 تراهرتز برای پی بردن به ساختار کریستالی و مولکولی پرکاربرد هستند.
انواع کاربردهای التراسونیک
از منظری می توان کاربردهای التراسونیک را در دو دسته تقسیم بندی نمود که آنها عبارتند از:
- فرآوری
- تشخیصی
برای توضیح بیشتر این نوع دستهبندی باید عنوان کرد که برخی از کاربردهای التراسونیک که از آن به عنوان “تشخیصی” نام برده شد کاربردهایی هستند که در آنها امواج التراسونیک با توان و انرژی بسیار پایینی منتشر میشوند و در نقطهای دیگر امواج عبوری و یا برگشتی را توسط حسگرها دریافت میکنند؛ با اندازهگیریهای مورد نیاز اطلاعاتی نسبت به محیط انتشار به دست می آید. به عنوان مثال در دستگاه سونوگرافی، امواج به بدن بیمار تابانده میشود، امواج به اعضا و جوارح برخورد کرده و بازتاب میشود. سنسورهایی که در کنار فرستندهها تعبیه شده امواج بازگشتی را دریافت نموده و به سیستم پردازشگر تحویل مینماید. سیستم پردازشگر دادههای بدست آمده را به تصویر تبدیل می نماید. این نوع امواج بر روی محیط انتشار تاثیری ندارند(ممکن است بسیار کم و در طول مدت بسیار، آثار جانبی داشته باشند.) اما کاربردهای “فرآوری” کاربردهایی هستند که امواج التراسونیک تابیده می شوند تا در محیط انتشار فرآیندی ایجاد نموده و یا تاثیر بسزایی در آن فرآیند داشته باشند. همچون جوش التراسونیک، شستشوی التراسونیک یا همگن کردن به کمک التراسونیک.
پیزوالکتریک
امواج التراسونیک، امواجی مکانیکی هستند که توسط کریستالهایی تحت عنوان پیزوالکتریک تولید میگردند. در واقع پیزوالکتریکها مبدلها یا transducer هایی هستند که انرژی الکتریکی را به انرژی مکانیکی تبدیل می نمایند. برای درک بهتر این موضوع به یک مثال اشاره می نماییم.
حتما بر روی بسیاری از ساعتهای عقربهای دیدهاید که نوشته شده Quartz . در واقع عملکرد ساعت به این صورت است که یک مدار الکترونیکی هرثانیه یک پالس تولید می نماید کریستالی از جنس کوارتز درون ساعت قرارگرفته که نسبت به این پالس الکتریکی که به دو سر آن اعمال میگردد حساسیت نشان میدهد و طول آن افزایش مییابد در اثر این افزایش طول یک چرخ دنده به حرکت در میآید و عقربه ثانیه شمار یک ثانیه جلو میرود.
پیزوالکتریکهایی که در کاربردهای مختلف التراسونیک مورد استفاده قرار میگیرند نیز در فرآیندی شبیه به کریستال quartz مورد بهره برداری قرار میگیرند، اما با توجه به فرکانس کاری، شرایط کاری و توان مورد نیاز دارای جنس، ابعاد و خاصیتهای متفاوتی هستند و مدار مولد سیگنال الکتریکی نیز باید متناسب با شرایط بالا ولتاژ و جریان با دامنه و فرکانس مورد نیاز را تامین نماید.
انواع سرامیک و مبدل های پیزو الکتریک پیزوالکتریک ها در شکلهای هندسی متفاوتی از جمله دیسک، میله، استوانهای، صفحهای، بلوکی، حلقهای، تیوپ و حتی کره و نیم کره نیز تولید می گردد.
کاربردهای صنعتی الترسونیک
با توجه به کاربردهای گسترده و متنوع الترسونیک در زمینههای گوناگون، کاربردهای صنعتی آن نیز بسیار زیاد و متنوع شده است در شمای زیر بخشی از آنها را مشاهده مینمایید.
دسته بندی کاربردهای التراسونیک در شمای بالا کاربردهای صنعتی التراسونیک به سه بخش کلی فرآوری، تست غیر مخرب و اندازهگیری و کنترل تقسیم بندی شده است. از جمله کاربردهای فرآوری التراسونیک صنعتی می توان به موارد زیر اشاره کرد:
- شستشوالتراسونیک
- شکل دهی فلزات
- سونوشیمی
- لحیم کاری
- جوشکاری التراسونیک
پاسخ فرکانسی و ضریب کیفیت
ساختارهای الکترونیکی و مکانیکی پاسخ فرکانسیهای متفاوتی دارند. به طور مثال یک مدار الکتریکی را در نظر بگیرید که از یک نقطه ولتاژی را به عنوان ورودی دریافت می نماید و ولتاژ در نقطهای دیگر را خروجی در نظر میگیریم. حال ولتاژ ورودی را که به شکل سینوسی است را اعمال نموده و فرکانس آن را بالا و بالاتر می بریم و به ازای هر فرکانسی مقدار ولتاژ خروجی را یادداشت می نماییم. سپس نمودار ولتاژ خروجی نسبت به فرکانس را کشیده و آن را نسبت به بیشینه نرمالیزه کرده و رسم می نماییم؛ به نمودار به دست آمده نمودار پاسخ فرکانسی مدار گفته می شود.
یک مدار RC و پاسخ فرکانسی آن حال فرض کنید به ابتدای سطح مقطع یک لوله جابهجایی با دامنهی یکسان وارد می نماییم و فرکانس آن را بالا میبریم و دامنهی جابهجایی را در سر دیگر آن اندازه گیری می نماییم. حال طبق نکات بالا نمودار پاسخ فرکانسی را رسم می نماییم.
ساختار مکانیکی یا الکترونیکی میتواند به صورتی باشد که در فرکانسهای بالاتر و پایینتر از فرکانسی خاص پاسخ ضعیفتری داشته باشد. شکل زیر بیانگر پاسخ فرکانسی چنین سیستمی است.
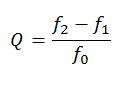
پاسخ فرکانسی و ضریب کیفیت هر چقدر این نمودار باریک تر باشد ضریب کیفیت آن بالاتر است. تعریف ریاضی ضریب کیفیت به صورت زیر است:
رابطه محاسبه ضریب کیفیت شرکت فناوری ایرانیان پژوهش نصیر مفتخر است که بیش از 5 سال در زمینهی التراسونیک فعالیت نماید و محصولات و هدف گذاریهای آن در زمینهی فرآوری التراسونیک است. اولین محصول که در حال حاضر در 12 مدل تولید می گردد، التراسونیک هموژنایزر است که تاکنون به مراکز علمی، پژوهشی و صنعتی مختلفی فروخته شده و مورد استفاده قرار می گیرد. همچنین در حال حاضر شرکت در حال تلاش به منظور ساخت و نهایی سازی محصولات در زمینهی دوخت و جوش التراسونیک است. توضیحات ارائه شده در ادامهی مطلب با توجه به این زمینهی کاری است و ممکن است برخی از نکات و موارد ذکر شده در زمینههای دیگر درست و یا کاربردی نباشد.
بخش های یک سیستم التراسونیک
یک دستگاه التراسونیک که در زمینههای فرآوری مورد استفاده قرار می گیرد معمولا از بخشهای زیر تشکیل شده است:
- مدار کنترل کننده
- بخش مکانیکی متشکل از:
- مبدل التراسونیک
- تقویت کننده
- هورن التراسونیک
در ادامه در مورد هریک از موارد زیر توضیحاتی ارائه خواهد شد.
مدار کنترل کننده: مدار کنترل کننده موظف است سیگنال الکتریکی با فرکانس، ولتاژ و توان مناسب را به بخش مکانیکی تحویل نماید. از جمله پیچیدگیهایی که ساخت مدار کنترل کننده را سخت می نماید ضریب کیفیت بسیار بالای هورن التراسونیک است.
مدار کنترل کننده باید رابط کاربری مورد نیاز را نیز تامین نماید. رابط کاربری می توان ارتباط با یک PLC یا سیستم کنترل مرکزی سامانهای باشد که دستگاه التراسونیک بخشی از آن است و یا می تواند پنل کاربری روی دستگاه باشد. مدار کنترل کننده با توجه به دستورات دریافتی از رابط کاربری خود، زمان کلی فرآیند، زمان و مدت اعمال التراسونیک، میزان انرژی امواج التراسونیک و دیگر پارامترها را اعمال می نماید. در مقالات بخش آموزش التراسونیک هموژنایزر و دوخت با نحوهی کار مدار کنترل کننده تولیدی توسط شرکت فاپن بیشتر آشنا خواهید شد.
بخش مکانیکی: این بخش از دستگاه که متشکل از مبدل، تقویت کننده و هورن است، توسط کاربر به صورت یکپارچه مورد استفاده قرار می گیرد اما به دلیل اهمیت و همچنین وجود نیاز به دانش در مواجهه با آن در حین کار و در زمان خرابی در این قسمت اطلاعات مورد نیاز را به شما ارائه می نماییم.
ترنسدیوسر التراسونیک: همان طور که در بخش های قبل اشاره شده مبدل التراسونیک وظیفهی تبدیل سیگنال های الکتریکی تولید شده توسط ژنراتور التراسونیک به نوسانات مکانیکی را برعهده دارد. تراندیوسرها اغلب با طراحی مکانیکی سعی در افزایش توان قابل ارائه، قرارگیری در بازه فرکانسی مناسب، افزایش ضریب کیفیت مکانیکی و … دارند. هنگامی که ژنراتور حداکثر توان ممکن را به ترانسدیوسر اعمال می نماید حداکثر نوسانات آن حدود 20 میکرون است. این بخش از (معمولا)2، 4 و یا 6 سرامیک پیزوالکتریک تشکیل می شود که در بین دو بخش فلزی(معمولا آلومینیوم) قرار گرفته اند. همچنین در بین پیزوالکتریک ها الکترودهایی به منظور اعمال ولتاژ به آنها قرار گرفته است. علی رغم ظاهر ساده و غیرپیچیدهی این قسمت، اما نکات بسیار ریز و حساسی وجود دارد که بخشی از آن را که در صورت خرابی با آن ممکن است مواج شوید را در بخش عیبیابی دستگاههای التراسونیک توضیح خواهیم داد.
در شکل چند نمونه از انواع مبدل های التراسونیک را مشاهده می نمایید:
انواع مبدل های التراسونیک تقویت کننده: این قسمت مکانیکی وظیفهی افزایش دامنه نوسانات را دارد. در واقع این بخش از یک ورودی و خروجی تشکیل شده است. ورودی آن به مبدل متصل می گردد. هنگامی که مبدل التراسونیک در حال نوسان با دامنهی 20 میکرونی است خروجی تقویت کننده به میزان بهره(Gain) خود دامنه نوسانات را افزایش می دهد. فرض کنید شرکت تولید کننده اعلام کرده که بهره یا ضریب تقویت این تقویت کننده(amplifier) 3 است. در نتیجه اگر مبدل 20 میکرون جابهجایی داشته باشد در انتهای تقویت کننده 60 میکرون جابهجایی خواهیم داشت.
بوستر، تقویت کننده یا amplifier التراسونیک هورن التراسونیک: هورن التراسونیک بخشی است که با محیط انتشار ارتباط برقرار می کند و امواج التراسونیک را به درون محیط انتشار می فرستد. هورن التراسونیک با توجه به کاربردی که دارد از شکلها و جنس های مختلف ساخته میشود. هورن نیز می تواند ضریب تقویت یا همان gain داشته باشد. مقدار گین در بوستر و هورن می تواند کوچکتر یا بزرگتر از 1 باشد.
-
چند نمونه از هورن های جوش التراسونیک و هموژنایزر -

-

-



